The fields with the red border are required.

    CALCULATION OF CAPACITORS CONNECTED IN SERIES

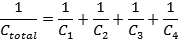
    The formula below calculates total capacitance of a group of series connected capacitors. When entering the size of the capacitors, the units must be kept the same from one capacitor to the next. For example, if Capacitor-1 is entered in micro-farads, Capacitor-2 must also be entered in micro-farads.

    Capacitor 1:  
    Capacitor 2:  
    Capacitor 3:  
    Capacitor 4:  
    Total Capacitance: